长期暴露于空气污染或可加速衰老
导 读
端粒是位于染色体末端的DNA-蛋白质复合体,其长度可随着细胞分裂和外界环境暴露而缩短。因此,端粒长度可反应生物衰老的程度,即端粒长度越短,生物衰老程度越高。本研究基于英国生物银行47万的成人队列,分析了空气污染的长期暴露对端粒长度的影响。研究发现空气污染的长期暴露可显著缩短端粒长度;其中经济水平较低、受教育程度较低、BMI较高的人群对空气污染更加敏感。

图1图文摘要
空气污染是全球最大的环境健康风险,会导致疾病和早逝。据估计,2019年,全球约99%的人口居住在受到空气污染的地区(空气质量低于世界卫生组织制定的标准)。仅2019年,全球就约有450万人因大气污染而导致过早死亡,占总死亡人数的7.8%。研究表明空气污染物可能会引起全身性炎症和氧化应激,从而加速生物衰老。
端粒是染色体末端的重要结构。它包含一段重复的核苷酸序列,可保护染色体免受损伤,有效防止染色体间末端重组、融合,以维护染色体的完整性,防止基因信息的丧失。端粒长度被视为生物衰老的指标,与多种疾病(如痴呆症、糖尿病和中风)相关。研究表明,外部环境暴露可影响端粒长度。在细胞水平上,端粒长度的改变可能是空气污染导致器官损害和健康问题的潜在机制,也是人体暴露于空气污染后的重要早期健康信号。本研究采用英国生物银行(UK Biobank)的大规模人群样本数据,旨在研究长期暴露于空气污染与端粒长度之间的关联,并识别可能影响这一关联的因素。
研究使用了英国生物银行中约47.2万名参与者的数据,包含用定量聚合酶链式反应测量的白细胞端粒长度。研究纳入了PM2.5, PM10, NO2, NOx, SO2和CO六种污染物,并根据研究对象的家庭住址所对应的1公里网格,计算每位研究对象基线前三年的平均空气污染暴露水平;采用线性混合效应模型定量分析了六种空气污染物与端粒长度之间的关联。
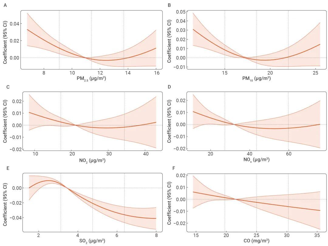
研究发现,空气污染与端粒长度之间的关联呈近似线性,即随着空气污染物暴露水平上升,端粒长度降低(图2)。在考虑了年龄、性别、种族、教育程度、收入等因素后,SO2与端粒长度的关联最为显著。SO2每升高10 μg/m3,端粒长度降低7.30% (95% CI:4.65-9.89);其次为PM2.5和PM10,浓度每升高10 μg/m3,端粒长度分别降低3.07% (95% CI:0.50-5.56)和1.95% (95% CI:0.25-3.61)。进一步将空气污染依据四分位数转换为分类变量后,结果表明,与下四分位数相比,当空气污染水平处于上四分位数时,端粒长度更低。此外,分层分析发现,经济水平较低、受教育程度较低、BMI较高的人群对空气污染更加敏感。

图2空气污染与端粒长度之间的剂量反应关系
总结与展望
综上所述,长期暴露于空气污染环境可能导致端粒长度的缩短,尤其是在社会经济状况较差的人群中,这一影响可能更为显著。这项研究为我们深入了解空气污染对健康的影响提供了重要的线索,为制定更有效的环境政策以及保护人类健康提供了坚实的科学基础。未来,仍需进一步的研究来揭示端粒长度在空气污染与各种疾病之间的确切作用机制,这将有助于我们更好地理解和应对环境污染对人类健康的潜在威胁。